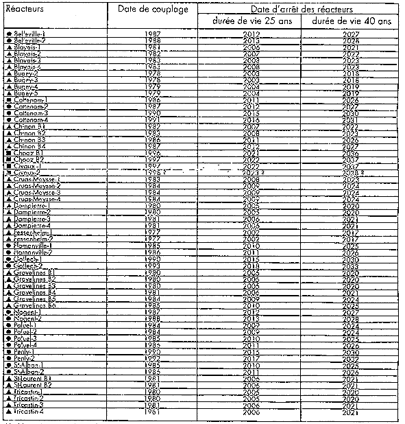
Les scénarios de sortie douce du nucléaire ont été élaborés en confondant la durée d'amortissement des réacteurs (25 ans) avec la durée de vie escomptée par EDF de 40 ans. Fonder une sortie du nucléaire sur une durée de vie des réacteurs de 25 ans n'a pas de sens lorsque cette durée de vie est estimée officiellement à 40 ans par EDF. Les premiers réacteurs sortis "en douceur" seraient ceux de Fessenheim vers 2017 alors que pour les Verts c'est en 2002 que leur mise à l'arrêt devrait être décidée. Quant à Civaux-1 mis en service en 1997, suivant les hypothèses d'une sortie progressive et douce il ne serait mis à l'arrêt que vers 2037 !
Nous donnons pour chacun des 57 réacteurs en fonctionnement la date de couplage au réseau, la date de mise à l'arrêt pour une durée de vie du réacteur de 25 ans et pour une durée de vie de 40 ans comme le prévoit EDF. Le couplage du 58e réacteur (Civaux-2) est prévu pour 1998-1999.

Ainsi la sortie progressive en 25 ans signifierait la fin du nucléaire en 2022. Si la durée de vie des réacteurs est de 40 ans la fin du nucléaire se situerait vers 2037 à condition que d'autres réacteurs (type EPR par exemple) ne soient pas mis en opération